点击上方蓝字关注“小任杂谈”
everybody!
一起来唱歌
抖音合拍@Max垚
(音频和画面不同步,略略略)
听见 冬天 的离开
我在某年某月醒过来
我想 我等 我期待
未来却不能因此安排

阴天 傍晚 车窗外
未来有一个人在等待
向左 向右 向前看
爱要拐几个弯才来

我遇见谁会有怎样的对白
我等的人他在多远的未来
我听见风来自地铁和人海
我排著队拿著爱的号码牌
【本期答案】
课本《(经济数学)概率论与数理统计》
4-1课后习题
【往期答案】
答案|课本《概率论与数理统计》第一章
课本《(经济数学)概率论与数理统计》1-4课后习题
答案|课本《(经济数学)概率论与数理统计》2-1、2-2
答案|课本《(经济数学)概率论与数理统计》2-3
答案|课本《(经济数学)概率论与数理统计》2-4
答案|课本《(经济数学)概率论与数理统计》2-5答案|课本《(经济数学)概率论与数理统计》3-1答案|课本《(经济数学)概率论与数理统计》3-2答案|课本《(经济数学)概率论与数理统计》3-3答案|课本《(经济数学)概率论与数理统计》3-4答案|课本《(经济数学)概率论与数理统计》3-5【教材】

(请点击图片放大观看)
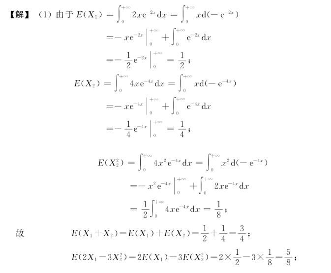
【4-1】
4-11

4-12

4-13

4-14

4-15

4-16

4-17

4-18

4-19

4-110

4-111

4-112

4-113

4-114

4-115

4-116

更新完毕
感谢学习大使提供答案
【小任杂谈官媒】

公众号:小任杂谈
(含30+门大学课程答案、资料)
喜马拉雅FM:小任杂谈
(含保险学考研专业课知识点音频)
微博:忆凯城
(含每日雅思口语、口译笔记)
知乎:小任杂谈
(含147分数学三考研高分经验分享)
抖音:703797745
(日常生活,无实用意义)
今日头条:小任杂谈游戏说
(热门游戏资讯、实测、安利)
小任杂谈
![]()
等你来撩

热爱生活的人
终将被生活热爱